⭕ 实时检测,能动态地监测生物分子相互作用的全过程
⭕ 无需标记样品,保持了分子活性
⭕ 样品需要极少,一般一个表面仅需要100ug蛋白
⭕ 检测过程方便快捷,灵敏度高
⭕ 应用范围非常广泛
⭕ 高通量,高质量的分析数据
⭕ 能跟踪监控固定的配体的稳定性
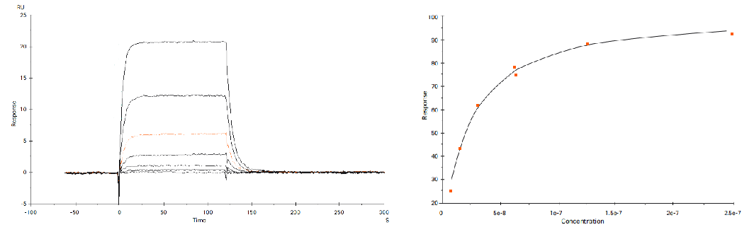
分析物进样方式可以采取单循环(single-cycle)模式或者多循环(Multi-cycle)模式。根据分子互作机制的不同,结果分析采用动力学(Kinetic)或者稳态(Steady-state affinity)分析模式。

(进样模式:左-多循环,右-单循环)

(结果分析:左-动力学分析,右-稳态分析)